
下載億題庫APP
聯系電話:400-660-1360

請謹慎保管和記憶你的密碼,以免泄露和丟失

請謹慎保管和記憶你的密碼,以免泄露和丟失

2020年MBA考試《數學》考試共25題,分為問題求解和條件充分性判斷。小編為您整理精選模擬習題10道,附答案解析,供您考前自測提升!
1、已知等差數列
的公差不為0,但第3、4、7項構成等比數列,
()?!締栴}求解】
A.
B.
C.
D.
正確答案:A
答案解析:由已知第3、4、7項構成等比數列,即
,化簡得
,
因此
。
2、已知abc≠0,則
()
(1)
(2)
【條件充分性判斷】
A.條件(1)充分,但條件(2)不充分
B.條件(2)充分,但條件(1)不充分
C.條件(1)和(2)單獨都不充分,但條件(1)和條件(2)聯合起來充分
D.條件(1)充分,條件(2)也充分
E.條件(1)和(2)單獨都不充分,條件(1)和條件(2)聯合起來也不充分
正確答案:C
答案解析:條件(1)和條件(2)單獨都不是充分的,
聯合條件(1)和條件(2),
因此,
3、若
,則
的值為()。【問題求解】
A.527
B.257
C.526
D.256
E.356
正確答案:A
答案解析:
,可得
,從而
,得
。
4、甲、乙兩人各進行一次射擊,至少有1人擊中目標的概率為0.84。()
(1)在一次射擊中,甲擊中目標的概率為0.6,乙擊中目標的概率為0.5
(2)在一次射擊中,甲、乙擊中目標的概率都是0.6【條件充分性判斷】
A.條件(1)充分,但條件(2)不充分
B.條件(2)充分,但條件(1)不充分
C.條件(1)和(2)單獨都不充分,但條件(1)和條件(2)聯合起來充分
D.條件(1)充分,條件(2)也充分
E.條件(1)和(2)單獨都不充分,條件(1)和條件(2)聯合起來也不充分
正確答案:B
答案解析:設A:甲射中,B:乙射中。
由條件(1),P(A)=0.6,P(B)=0.5,則 P(A∪B)=P(A)+P(B)-P(AB)=0.6+0.5-0.6×0.5=0.8。
由條件(2),P(A)=P(B)=0.6,則 P(A∪B)=P(A)+P(B)-P(AB)=0.6+0.6-0.6×0.6=0.84。
從而條件(1)不充分,條件(2)充分。
5、
A.3x-y+15=0,x+y-11=0
B.3x-y-16=0,x+y-11=0
C.3x-y+1=0,x+y-8=0
D.3x-y-11=0,x+y-16=0
E.3x-y+1=0,x+y-11=0
正確答案:B
答案解析:方程組
即平行四邊形的一個頂點為
設這個平行四邊形其他兩邊的交點為A'(x,y),如圖所示,M(3,3)是AA'的中點,所以

用點斜式,所求兩條邊直線方程為
。整理可得y+x-11=0,y-3x+16=0。
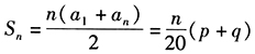
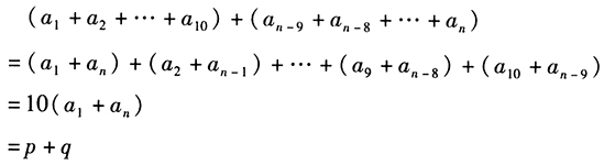
6、在等差數列
,則該數列的前n項和
等于()?!締栴}求解】
A.
B.
C.
D.
E.
正確答案:C
答案解析:
,
即
,因此
。
7、對于任意二事件A和B()?!締栴}求解】
A.若
,則A,B一定獨立
B.若
,則A,B一定不獨立
C.若
,則A,B一定獨立
D.若
,則A,B有可能獨立
E.以上結論均不正確
正確答案:D
答案解析:互斥與獨立是兩個沒有關系的基本概念,因此
,A,B有可能獨立,也有可能不獨立,
同樣
,A,B有可能獨立,也有可能不獨立。
8、分配5名老師到三所學校任教,則每校至少分配一名老師的概率為()?!締栴}求解】
A.
B.
C.
D.
E.
正確答案:B
答案解析:總分法為
(這是一個典型的分房問題),
A:表示每校至少分配一名老師,則A的分法可設計為兩種方案:
方案1:一個學校分配3人,另兩個學校各分配1人;
方案2:兩個學校各分配2人,另一個學校分配1人。
由乘法原理,方案1有
,方案2有
,
從而
。
注:A的分法也可按
(種)得到,即先分組,再分配的方法。
9、已知
,則
的值為()?!締栴}求解】
A.1
B.
C.
D.-1
E.0
正確答案:C
答案解析:令a=1,得y=2,x=0,即可得
。
10、如圖所示,直角梯形的一腰與下底長都為40,且它們的夾角為60°,則梯形的中位線長為()。
【問題求解】
A.30
B.60
C.40
D.50
E.80
正確答案:A
答案解析:如圖所示,作DP⊥BC于P。因為∠C =60°,從而∠PDC=30°,PC=
CD =20,由BC= CD =40,可知PB=BC - CP= 20,從而AD =BP=20,
。
05:312020-05-15
02:382020-05-15
04:042020-05-15
03:352020-05-15
04:002020-05-15

微信掃碼關注公眾號
獲取更多考試熱門資料